Class 12 Maths Chapter 6 – Applications of Derivatives NCERT Solutions – FREE PDF Download | Hand – Written Notes
Chapter 6 Applications of Derivatives is one of the most important chapters of Class 12 Mathematics. This chapter explains how derivatives are used in real-life situations. While Chapter 5 teaches how to find derivatives, Chapter 6 teaches where and why derivatives are used.
This chapter is very important for:
• Board examinations
• Competitive exams
• Understanding higher mathematics
At Edu Tehri, this chapter is explained with real-life meaning, graphical understanding, step-by-step NCERT solutions, handwritten notes, and free PDFs, so that students can clearly understand every concept.
What Does “Applications of Derivatives” Mean?
A derivative tells us rate of change.
Using this idea, we can answer questions like:
• How fast is something increasing or decreasing?
• Where does a function increase or decrease?
• What is the highest or lowest value of a quantity?
• At which point does a curve rise or fall?
Important Topics Covered in Chapter 6
Chapter 6 is divided into the following main parts:
1. Rate of Change of Quantities
2. Increasing and Decreasing Functions
3. Tangents and Normals
4. Maxima and Minima
5. Solving Real-Life Problems using Maxima and Minima
Each topic is very important from an exam point of view.
Scroll through the pages below to view the Chapter-6
Rate of Change of Quantities
Meaning
Rate of change means how fast one quantity changes with respect to another.
Examples:
• Speed is rate of change of distance with time
• Velocity is rate of change of displacement
Mathematical Meaning
If y = f(x), then
Rate of change of y with respect to x = dy/dx
Exam Importance
• Usually asked as 1–2 mark conceptual questions
• Sometimes used in long problems
Increasing and Decreasing Functions
This topic helps us understand the behaviour of a function.
Increasing Function
A function f(x) is increasing if its derivative is positive.
Mathematically:
If f′(x) > 0 → Function is increasing
Decreasing Function
A function f(x) is decreasing if its derivative is negative.
Mathematically:
If f′(x) < 0 → Function is decreasing
Constant Function
If f′(x) = 0 → Function is constant
Steps to Find Increasing/Decreasing Intervals
1. Find f′(x)
2. Solve f′(x) = 0
3. Check sign of derivative in intervals
Exam Importance
• Very important for 3–5 mark questions
• Frequently asked in board exams
Tangents and Normals
Tangent to a Curve
A tangent is a straight line that touches the curve at exactly one point.
Slope of tangent at point (x, y) = dy/dx
Equation of tangent:
y − y₁ = m(x − x₁)
Normal to a Curve
A normal is a line perpendicular to the tangent at a point.
Slope of normal = −1 / slope of tangent
Equation of normal:
y − y₁ = (−1/m)(x − x₁)
Exam Importance
• Asked in 4–5 mark questions
• Often combined with differentiation
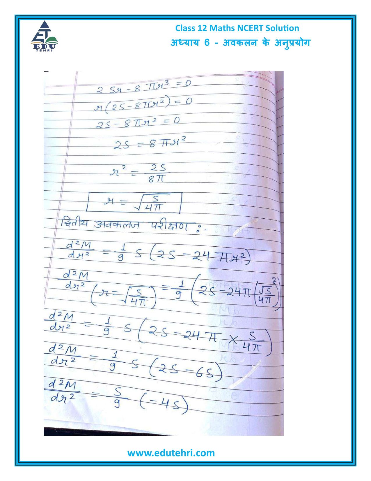
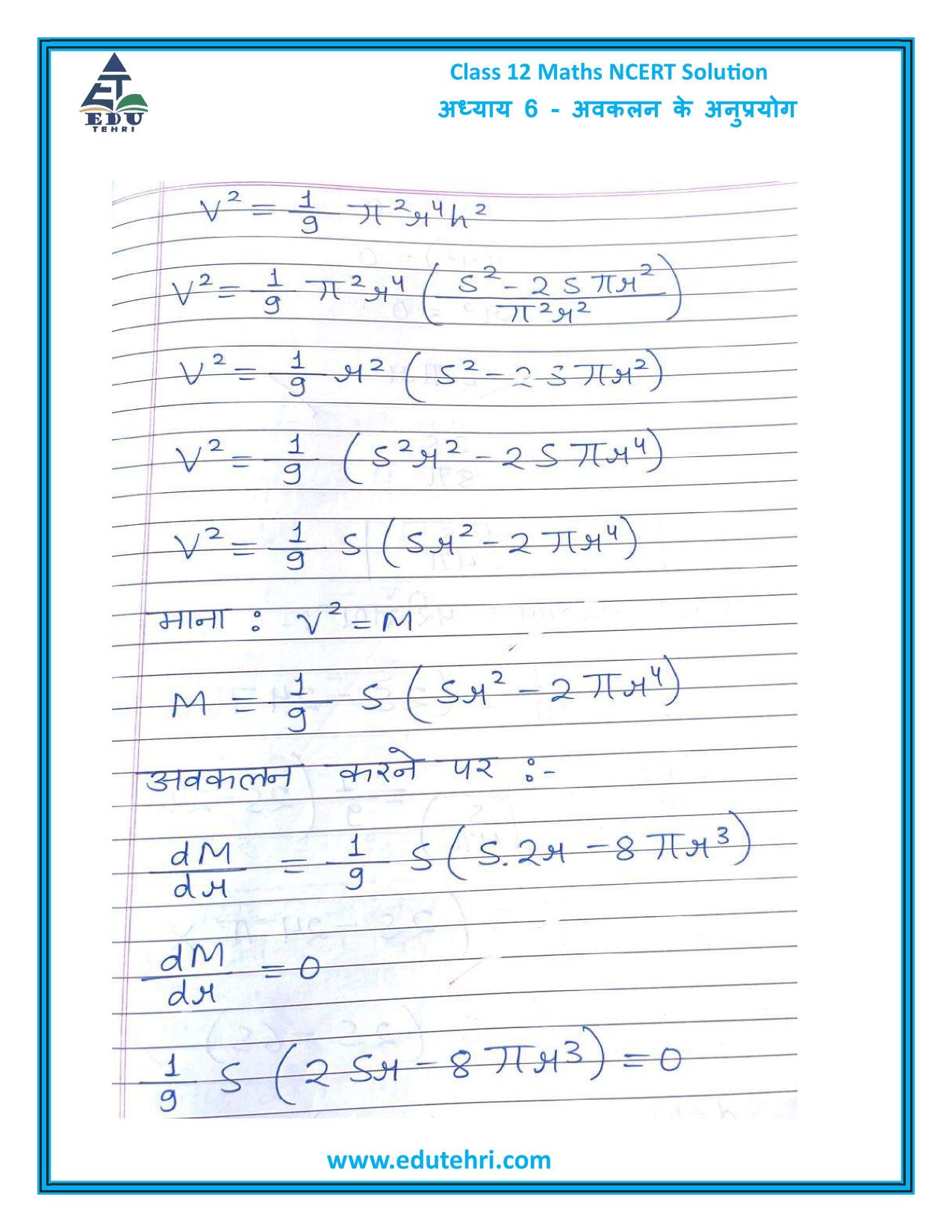
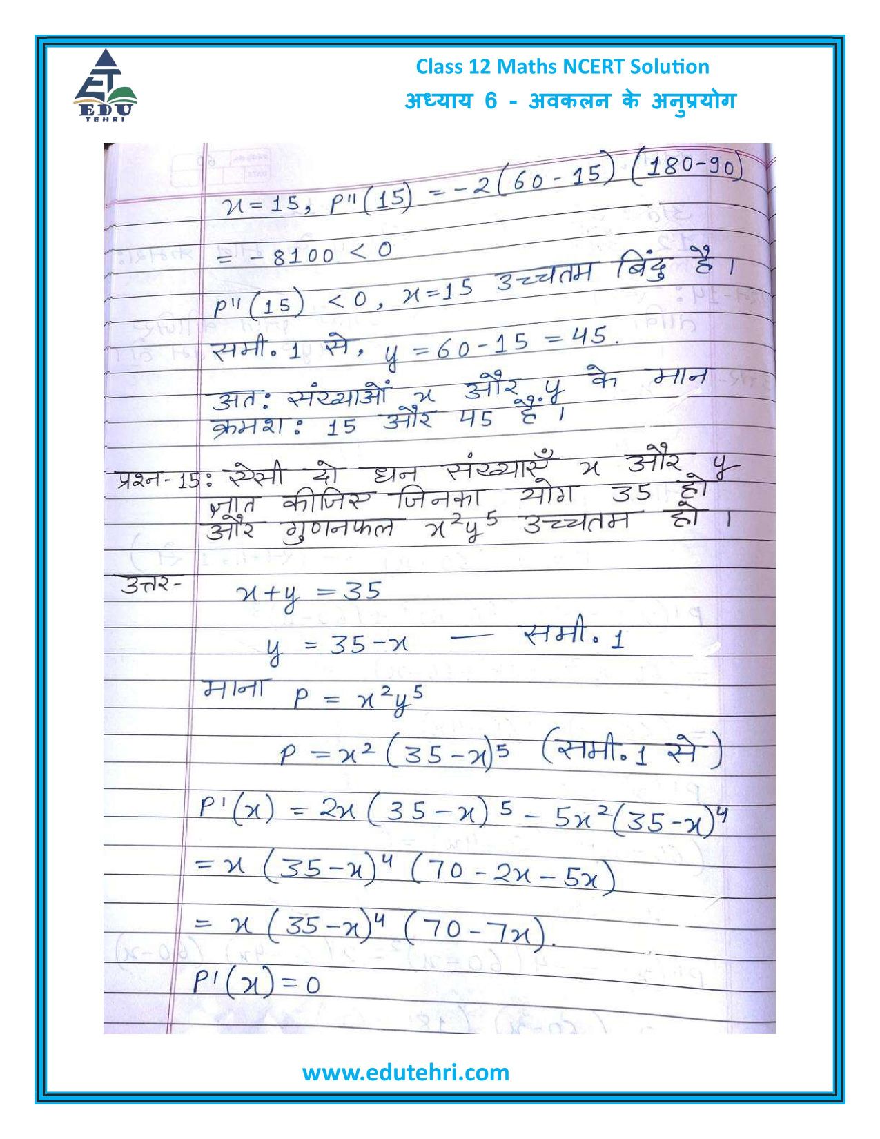
Maxima and Minima
This is the most important part of Chapter 6.
Meaning
• Maximum value → Highest value of a function
• Minimum value → Lowest value of a function
Conditions for Maxima and Minima
1. First derivative must be zero
f′(x) = 0
2. Second derivative test:
• If f″(x) < 0 → Maximum point
• If f″(x) > 0 → Minimum point
Exam Importance
• Very high weightage
• Mostly long answer questions (5 marks)
• Asked every year in boards
Applications of Maxima and Minima (Real-Life Problems)
This topic applies mathematics to real-life situations such as:
• Finding maximum area
• Finding minimum cost
• Finding maximum profit
• Finding minimum distance
Common Examples
• Rectangular field problems
• Box and container problems
• Cost and profit problems
Exam Importance
• Most scoring topic
• Tests understanding + application
Important Formulas – Chapter 6
Download Important Formula - Free PDF
Basic Formula
Rate of change = dy/dx
Increasing / Decreasing
• f′(x) > 0 → Increasing
• f′(x) < 0 → Decreasing
Tangent
Slope = dy/dx
Equation: y − y₁ = m(x − x₁)
Normal
Slope = −1/m
Equation: y − y₁ = (−1/m)(x − x₁)
Maxima & Minima
• f′(x) = 0
• f″(x) < 0 → Maximum
• f″(x) > 0 → Minimum
Exercises in Chapter 6
NCERT Chapter 6 contains exercises.
Exercise List
1. Exercise 6.1 – Rate of Change
2. Exercise 6.2 – Increasing & Decreasing Functions
3. Exercise 6.3 – Tangents & Normals
Edu Tehri – Free PDFs & Handwritten Notes
Edu Tehri provides complete Chapter 6 study material, including:
• Free PDF of NCERT solutions
• Handwritten notes for quick revision
• Important formulas PDF
• Board-focused practice questions
• Easy step-by-step explanations
Key Features of Chapter 6
• Real-life application based
• High scoring chapter
• Concept + calculation based
• Used in higher chapters
• Requires regular practice
Frequently Asked Questions
Q1. Why is Chapter 6 important?
It shows how derivatives are used in real life and has high board weightage.
Q2. Which topic is most important in this chapter?
Maxima and Minima is the most important topic.
Q3. Is this chapter difficult?
It may seem lengthy, but becomes easy with practice.
Q4. Are NCERT questions enough?
Yes, NCERT is more than enough for boards.
Q5. How to score high in this chapter?
Understand concepts, practice diagrams, and revise formulas.
Classs- 12th Mathematics NCERT Solutions All Chapters - Hand Written Notes | Free download PDF's | 2026-2027