Class 12 Maths Chapter 5 – Continuty and Differentiability NCERT Solutions – FREE PDf Download| Hand – Written Notes | 2026-2027

Chapter 5 is the foundation of calculus. This chapter explains how functions behave and how fast they change. Concepts of continuity and differentiation are used in almost all higher mathematics topics.

At Edu Tehri, this chapter is taught in a step-by-step, concept-first approach, so students understand why formulas work, not just how to use them.

This chapter answers two important questions:

1. Continuity → Is the function smooth and unbroken at a point?
2. Differentiability → Can we find the rate of change of the function at that point?

If a function is not continuous, it cannot be differentiable.
But a function can be continuous and still not differentiable.

Important Topics of Chapter 5

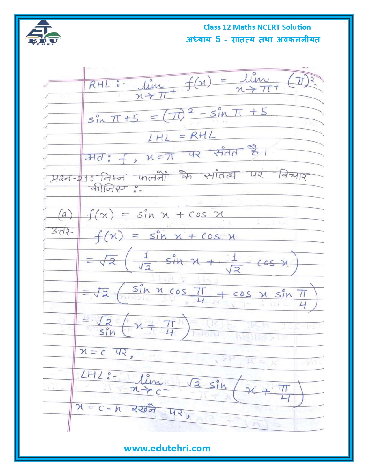
A. Continuity of a Function

• Meaning of continuity
• Continuity at a point
• Algebra of continuous functions
• Continuity of polynomial, rational, trigonometric, exponential, and logarithmic functions

B. Differentiability of a Function

• Meaning of derivative
• Left hand derivative (LHD)
• Right hand derivative (RHD)
• Differentiability at a point

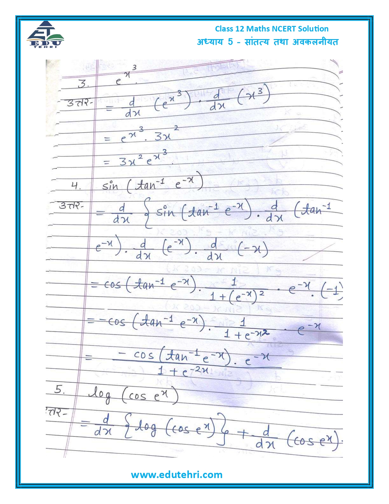
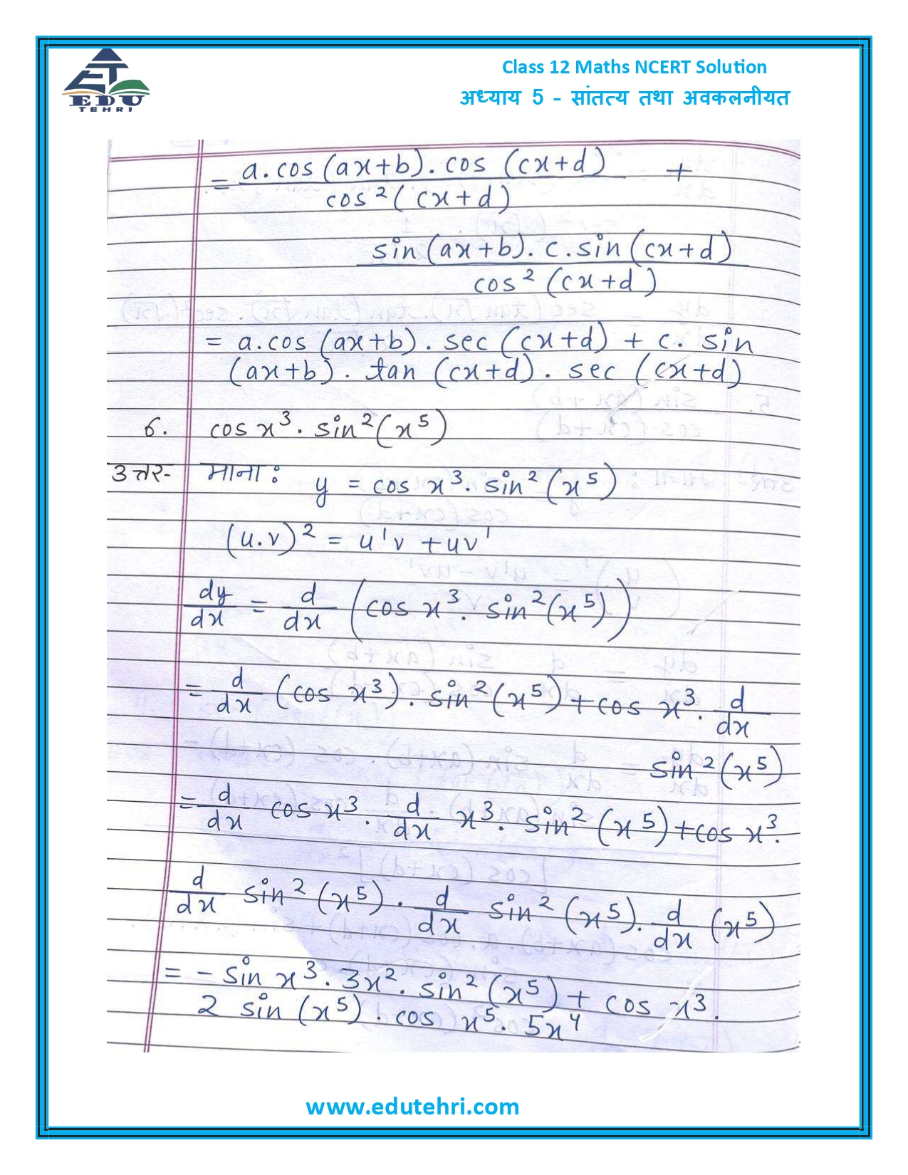
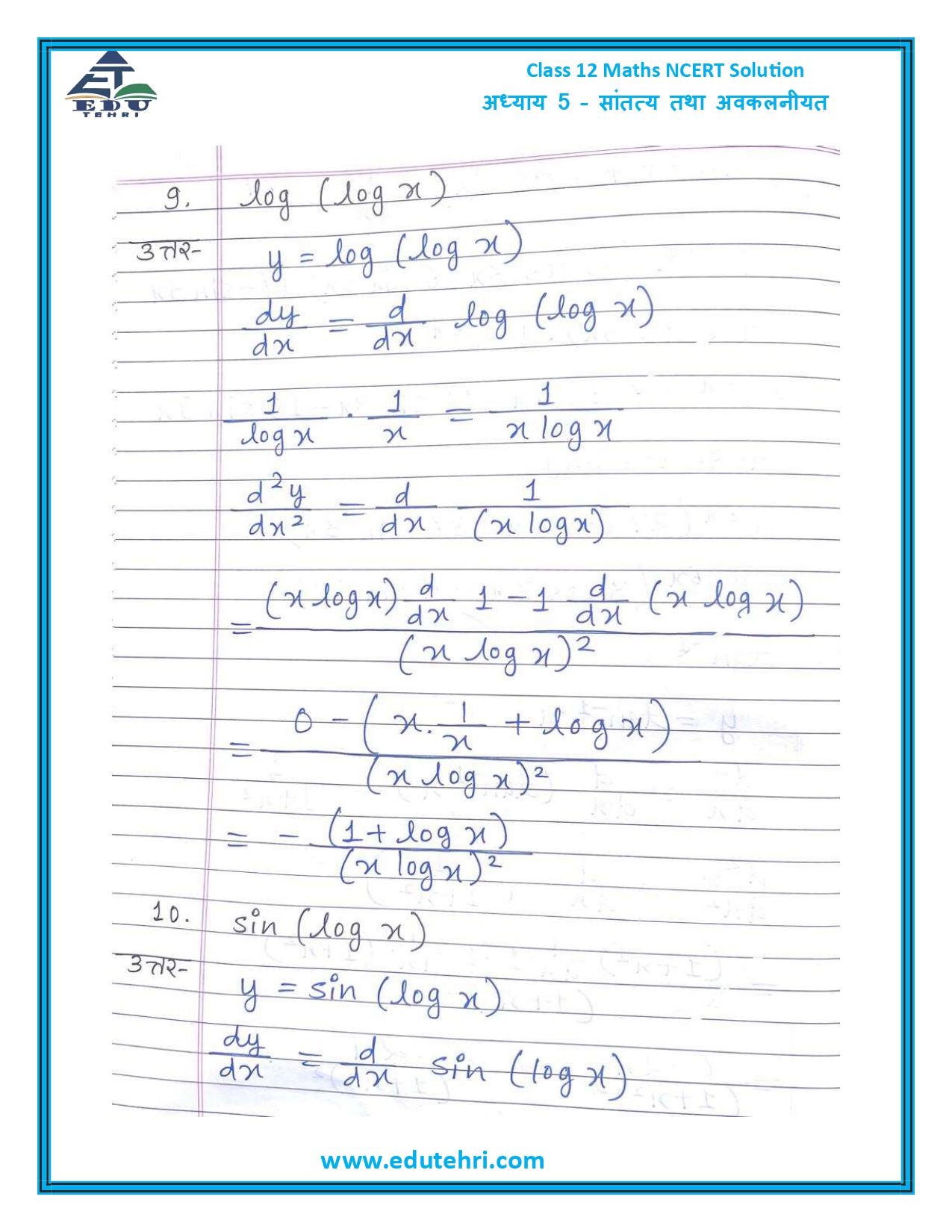
C. Derivatives of Functions

• Derivative of trigonometric functions
• Derivative of inverse trigonometric functions
• Derivative of exponential and logarithmic functions
• Derivative of composite functions (Chain Rule)
• Product Rule
• Quotient Rule

Important Formulas – Chapter 5

Download Important Formula - Free PDF

Continuity Condition (Very Important)

A function f(x) is continuous at x = a if:

1. f(a) is defined
2. lim x→a⁻ f(x) = lim x→a⁺ f(x)
3. lim x→a f(x) = f(a)

Basic Derivative Formulas

1. d/dx (xⁿ) = n xⁿ⁻¹
2. d/dx (sin x) = cos x
3. d/dx (cos x) = −sin x
4. d/dx (tan x) = sec² x
5. d/dx (eˣ) = eˣ
6. d/dx (log x) = 1/x

Inverse Trigonometric Derivatives

7. d/dx (sin⁻¹ x) = 1 / √(1 − x²)
8. d/dx (cos⁻¹ x) = −1 / √(1 − x²)
9. d/dx (tan⁻¹ x) = 1 / (1 + x²)

Rules of Differentiation

10. Product Rule
If y = u·v
dy/dx = u·dv/dx + v·du/dx

11. Quotient Rule
If y = u/v
dy/dx = (v·du/dx − u·dv/dx) / v²

12. Chain Rule
If y = f(g(x))
dy/dx = f′(g(x)) × g′(x)

Key Features of Chapter 5

• Core chapter of calculus
• Used in almost every next chapter
• Concept + formula based
• Requires regular practice
• High scoring if basics are clear

With Edu Tehri’s simple explanations, even average students can master this chapter.

Frequently Asked Questions

Q1. What is continuity in simple words?

Continuity means a function is smooth and has no break at a point.

Q2. Can a function be differentiable without being continuous?

No. A function must be continuous to be differentiable.

Q3. Can a function be continuous but not differentiable?

Yes. For example, f(x) = |x| at x = 0.

Q4. Why is Chapter 5 important for board exams?

This chapter forms the base of applications of derivatives and integration.

Q5. Which exercises are most important?

Exercises 5.3, 5.4, and 5.5 are most important for exams.

Q6. Is NCERT enough for this chapter?

Yes, NCERT questions are more than enough if practiced properly.

Q7. What type of questions are asked?

• Continuity checking
• Differentiation
• Formula-based problems

Q8. Is this chapter difficult?

It looks difficult at first, but becomes easy with practice and concept clarity.

Q9. Where can students get easy notes for this chapter?

Students can get free handwritten notes and PDFs on Edu Tehri.

Q10. How to score well in Chapter 5?

Understand concepts, revise formulas daily, and practice NCERT questions.

Class 12 NCERT Solutions For Maths Stream

Classs- 12th Mathematics NCERT Solutions All Chapters - Hand Written Notes | Free download PDF's | 2026-2027