Class 12 Maths Chapter 7 – Intergrals NCERT Solutions – FREE PDF Download | Hand – Written Notes
Chapter 7 Integrals is one of the core chapters of calculus. If differentiation tells us the rate of change, integration helps us find the original function from that rate of change. Integration is also used to find areas, quantities, totals, and accumulated values.
This chapter carries high weightage in board exams and is very important for competitive exams.
At Edu Tehri, this chapter is explained using step-by-step methods, shortcut techniques, formula clarity, handwritten notes, and free PDFs, so students can learn integration without fear.
What Is Integration?
Integration is the reverse process of differentiation.
• Differentiation → breaks a function
• Integration → rebuilds the function
Example
If
d/dx (x²) = 2x
then
∫ 2x dx = x² + C
Here, C is a constant called the constant of integration.
Chapter 7 mainly deals with:
1. Indefinite Integrals
2. Methods of Integration
(Definite integrals are studied in the next chapter.)
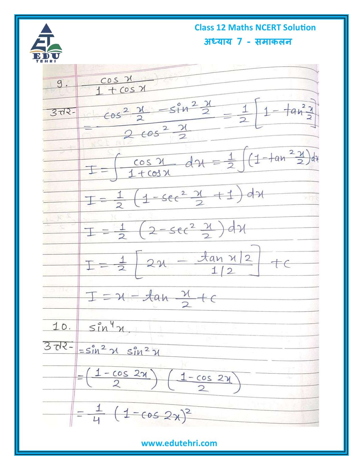
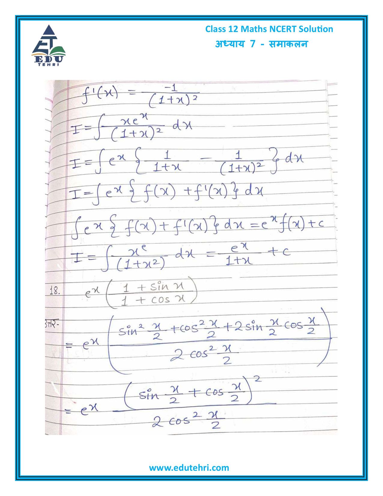
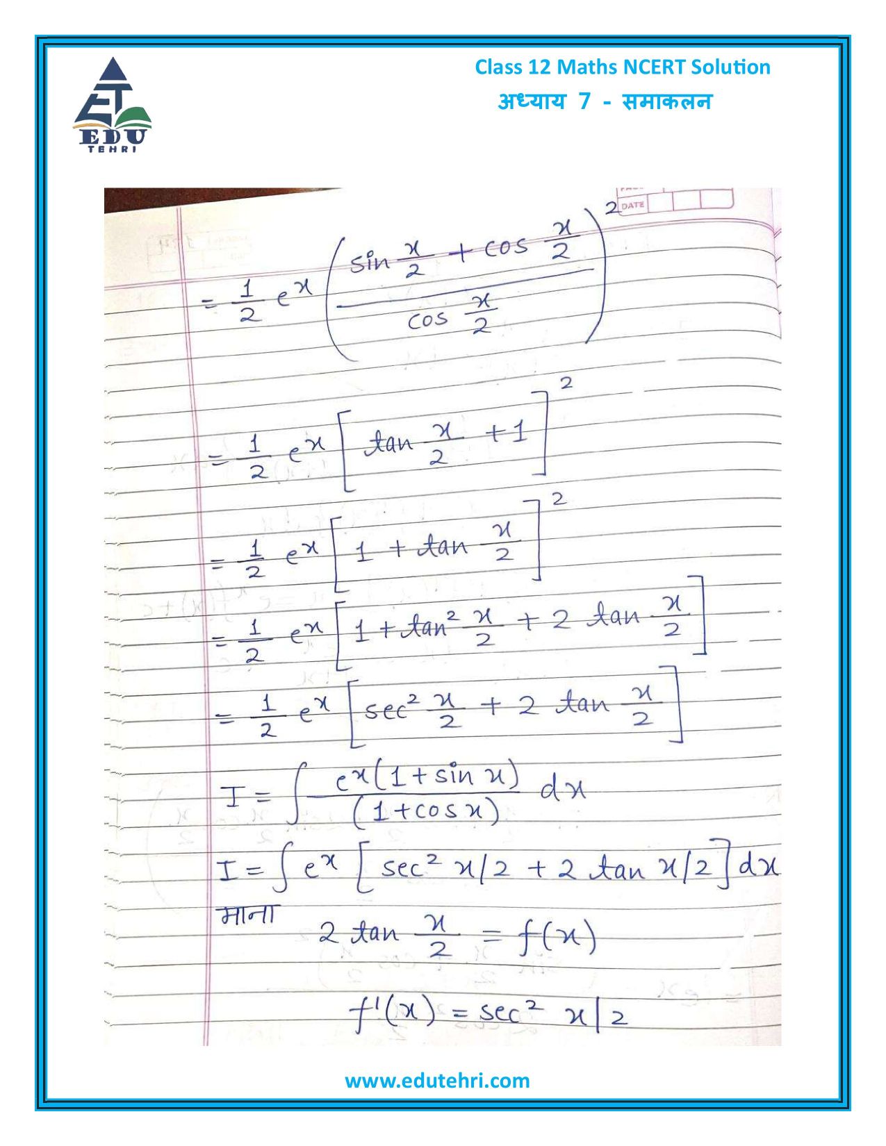
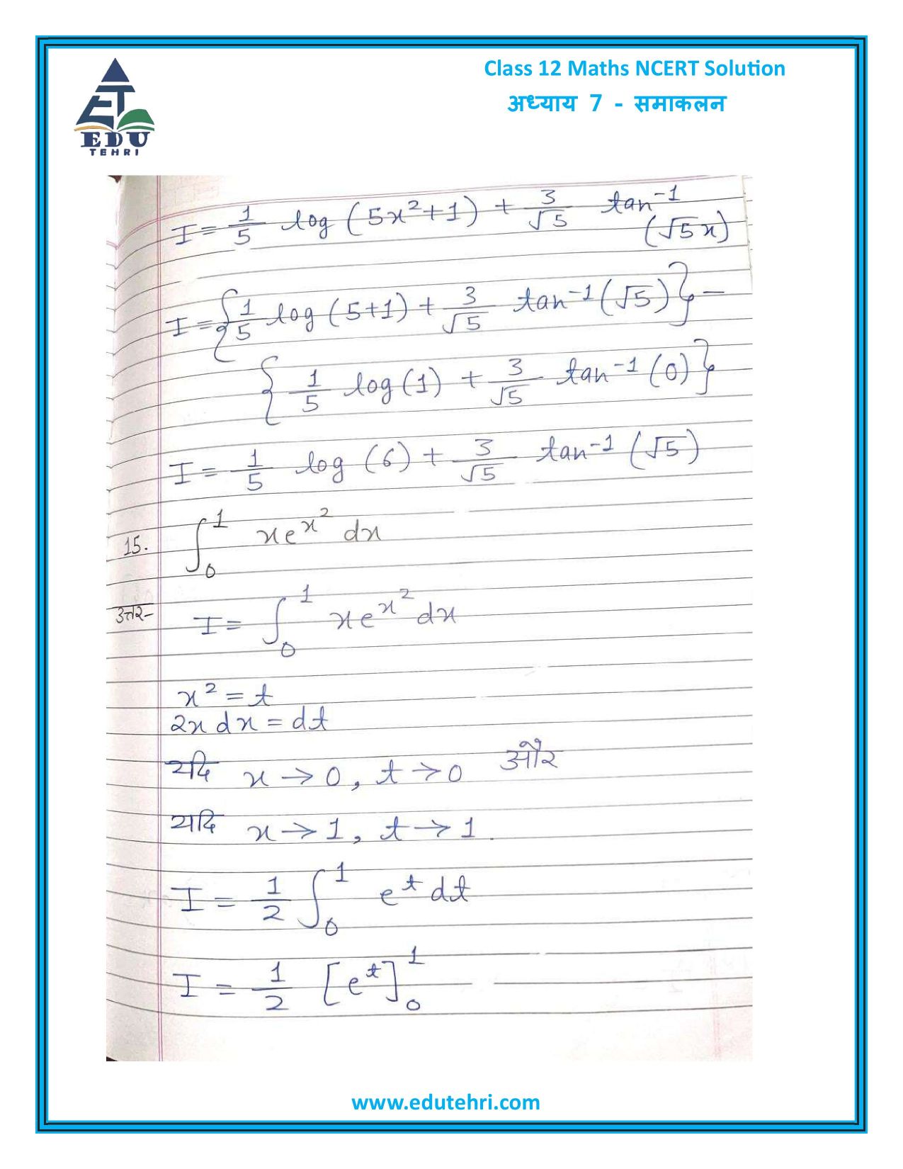
Scroll through the pages below to view the Chapter-7
Indefinite Integrals
Meaning
An indefinite integral represents a family of functions whose derivative is the given function.
Symbolically:
∫ f(x) dx = F(x) + C
Where:
• F′(x) = f(x)
• C is constant of integration
Why “+ C” Is Important?
Because the derivative of a constant is zero, different constants give the same derivative.
Standard Integrals
Students must remember these formulas.
Basic Standard Integrals
1. ∫ xⁿ dx = xⁿ⁺¹ / (n+1) + C, (n ≠ −1)
2. ∫ 1/x dx = ln|x| + C
3. ∫ eˣ dx = eˣ + C
4. ∫ aˣ dx = aˣ / ln a + C
Trigonometric Integrals
5. ∫ sin x dx = −cos x + C
6. ∫ cos x dx = sin x + C
7. ∫ sec² x dx = tan x + C
8. ∫ cosec² x dx = −cot x + C
9. ∫ sec x tan x dx = sec x + C
10. ∫ cosec x cot x dx = −cosec x + C
Inverse Trigonometric Integrals
11. ∫ 1/√(1 − x²) dx = sin⁻¹ x + C
12. ∫ 1/(1 + x²) dx = tan⁻¹ x + C
13. ∫ 1/(|x|√(x² − 1)) dx = sec⁻¹ x + C
Methods of Integration
Not all integrals can be solved directly. For such problems, special methods are used.
A. Integration by Substitution
Used when the integral contains a function and its derivative.
Steps:
1. Substitute a part as t
2. Convert dx in terms of dt
3. Integrate
4. Replace t with original variable
Exam Importance: Medium to High
B. Integration Using Identities
Used mainly for trigonometric integrals.
Example identities:
• sin²x + cos²x = 1
• 1 + tan²x = sec²x
Exam Importance: High
C. Integration by Partial Fractions
Used when integrand is a rational function.
Steps:
1. Factor denominator
2. Break into partial fractions
3. Integrate each term
Exam Importance: Very High
Frequently asked in boards.
D. Integration by Parts
Based on formula:
∫ u dv = u v − ∫ v du
Used when integrand is a product of two functions.
Example:
• x eˣ
• x sin x
Exam Importance: Very High (Long questions)
Important Properties of Integrals
Download Important Formula - Free PDF
One of the major benefits of EduTehri is the free PDF download option. Students can download:
1. ∫ [f(x) + g(x)] dx = ∫ f(x) dx + ∫ g(x) dx
2. ∫ k f(x) dx = k ∫ f(x) dx
3. Integration is linear
Exercises in Chapter 7
NCERT Chapter 7 contains 10 exercises.
Exercise List
1. Exercise 7.1 – Basic Integrals
2. Exercise 7.2 – Substitution Method
3. Exercise 7.3 – Trigonometric Integrals
4. Exercise 7.4 – Partial Fractions
5. Exercise 7.5 – Integration by Parts
6. Exercise 7.6 – Mixed Practice
7. Exercise 7.7
8. Exercise 7.8
9. Exercise 7.9
10. Exercise 7.10
Common Mistakes Students Make
• Forgetting constant of integration (+ C)
• Wrong choice of u and dv in integration by parts
• Mistakes in partial fraction decomposition
• Not using identities properly
At Edu Tehri, these mistakes are explained clearly in notes.
Edu Tehri – Free PDFs & Handwritten Notes
Edu Tehri provides complete Chapter 7 support, including:
• Free PDF of NCERT solutions
• Handwritten notes (step-wise)
• Standard integrals PDF
• Board-focused practice questions
• Easy explanation for weak students
Key Features of Chapter 7
• Backbone of calculus
• High board weightage
• Formula + practice based
• Used in areas & differential equations
• Needs daily practice
Q1. Why is integration important?
Integration helps find original functions, areas, and total quantities.
Q2. Is integration opposite of differentiation?
Yes, integration is the reverse process of differentiation.
Q3. Which method is most important for exams?
Partial fractions and integration by parts are most important.
Q4. Is NCERT enough for Chapter 7?
Yes, NCERT questions are fully sufficient for board exams.
Q5. How can I score well in integrals?
Learn standard formulas, practice daily, and revise methods.
Classs- 12th Mathematics NCERT Solutions All Chapters - Hand Written Notes | Free download PDF's | 2026-2027